Предмет: Математика,
автор: Olyadaiblanova
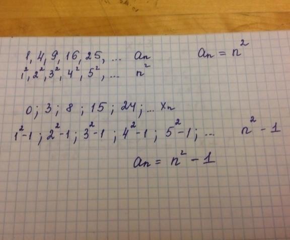
n2 1) 1; 4; 9; 16; 25; ... ; an; 2) 0; 3; 8; 15; 24; ... ; x ; .... ... •; a a = ? X = = ? n
Приложения:
Ответы
Автор ответа:
1
Ответ:
на фото
Пошаговое объяснение:
думаю и так понятно
Приложения:
Похожие вопросы
Предмет: Английский язык,
автор: BonBon111
Предмет: Английский язык,
автор: МейблПаинс
Предмет: Английский язык,
автор: gvr2009
Предмет: Химия,
автор: Windast
Предмет: Алгебра,
автор: Nastena0606