Предмет: Алгебра,
автор: helpppp398p
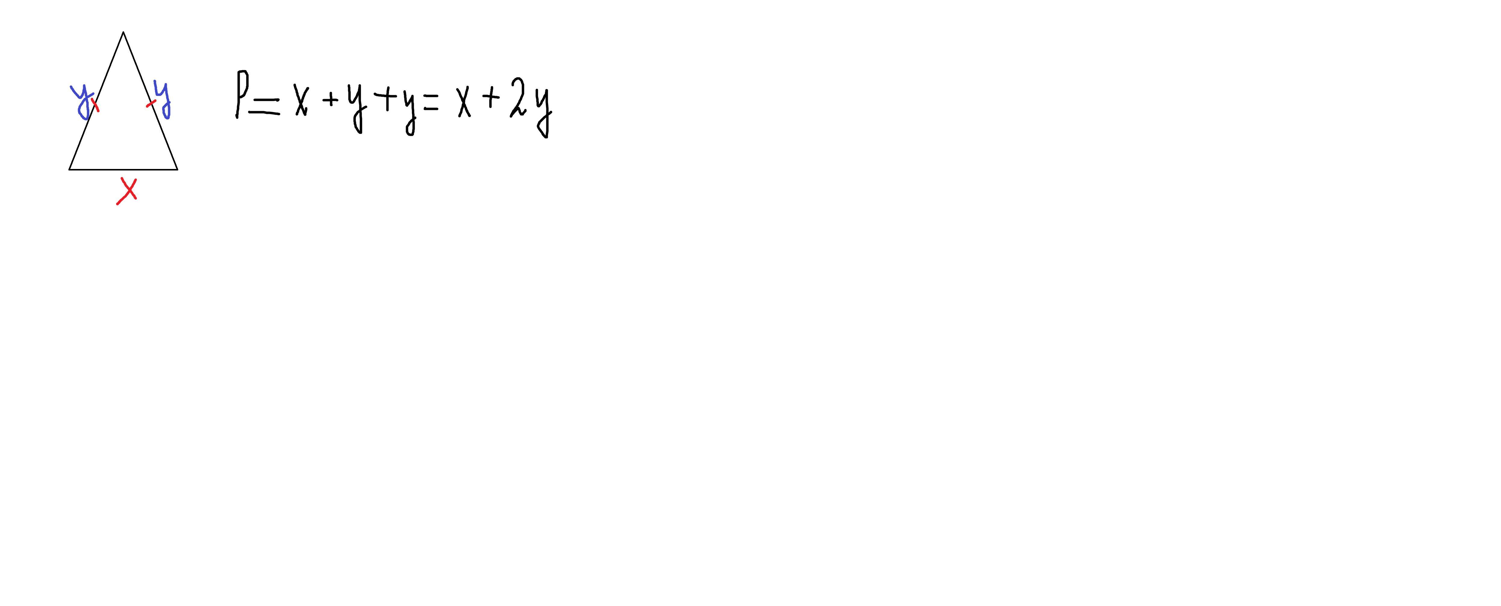
оцініть периметр Р рівнобедреного трикутника з основою х см і бічною стороною у см, якщо 10<х<12 і 9 < у <11
СРОЧНО! ПОЖАЛУЙСТА!
Ответы
Автор ответа:
1
Ответ:
28 < x+2y < 34 периметр равнобедренного треугольника
Объяснение:
Р=х+у+у=х+2у это формула для периметра равнобедренного треугол.
9 < у <11
9*2 < 2*y< 11*2 оценим сумму боковых сторон
18< 2y< 22
10 < x < 12
18 < 2y <22 сложим почленно эти неравенства,оценим периметр
-------------------
10+18 < x+2y < 12+22
28 < x+2y < 34
Приложения:
Похожие вопросы
Предмет: Қазақ тiлi,
автор: demchenkodaniil
Предмет: Русский язык,
автор: mouse2107
Предмет: Окружающий мир,
автор: mashasev663
Предмет: Биология,
автор: møłøđøşŧ
Предмет: Алгебра,
автор: supervalad