Предмет: Алгебра,
автор: bts781adiyakim
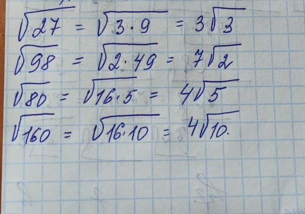
Вынесите множитель из под знака корня:
√27;
√98;
√80;
√160
Ответы
Автор ответа:
1
Объяснение:
надеюсь понятно написала
Приложения:
Похожие вопросы
Предмет: Русский язык,
автор: ilyaguminski
Предмет: Русский язык,
автор: валуна
Предмет: Русский язык,
автор: шаха17
Предмет: Алгебра,
автор: dianagrinberg23