Предмет: Алгебра,
автор: Venalbert
Решите ппж срочнооооо
Приложения:
Ответы
Автор ответа:
1
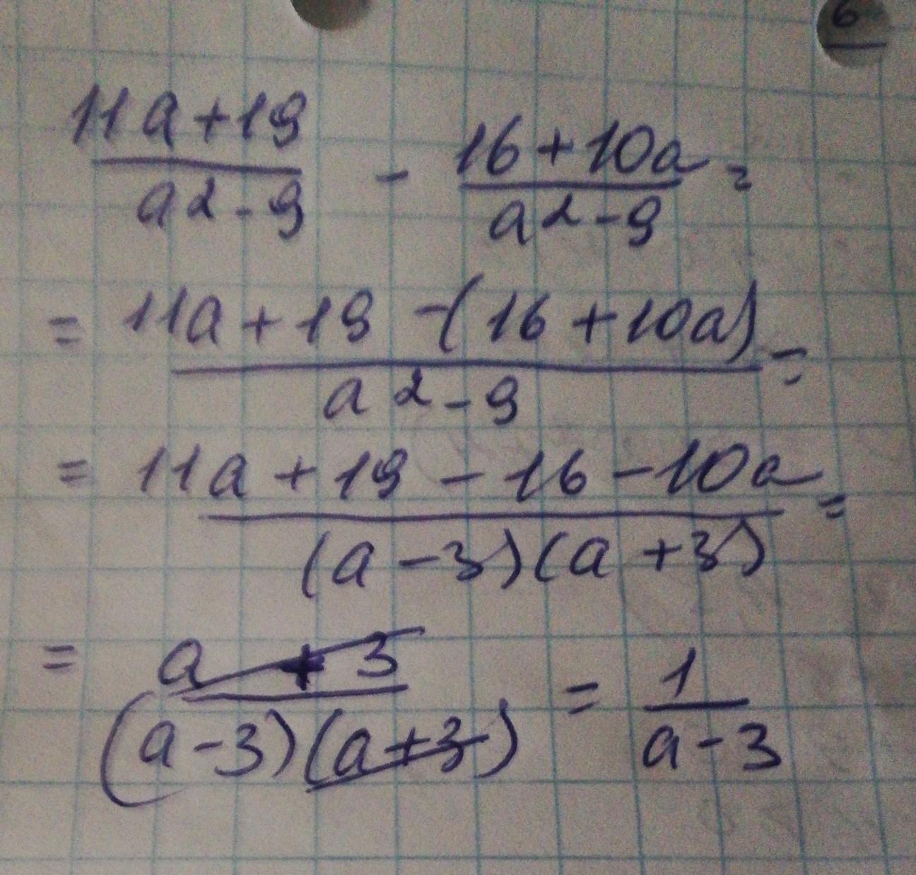
Ответ:
Смотри решение на фото выше
Приложения:
Похожие вопросы
Предмет: Окружающий мир,
автор: masha480
Предмет: Русский язык,
автор: rusyabulatovfack
Предмет: Қазақ тiлi,
автор: sladya
Предмет: Математика,
автор: Ррррррооооо
Предмет: Литература,
автор: Этя1234