Предмет: Алгебра,
автор: Zhamilat
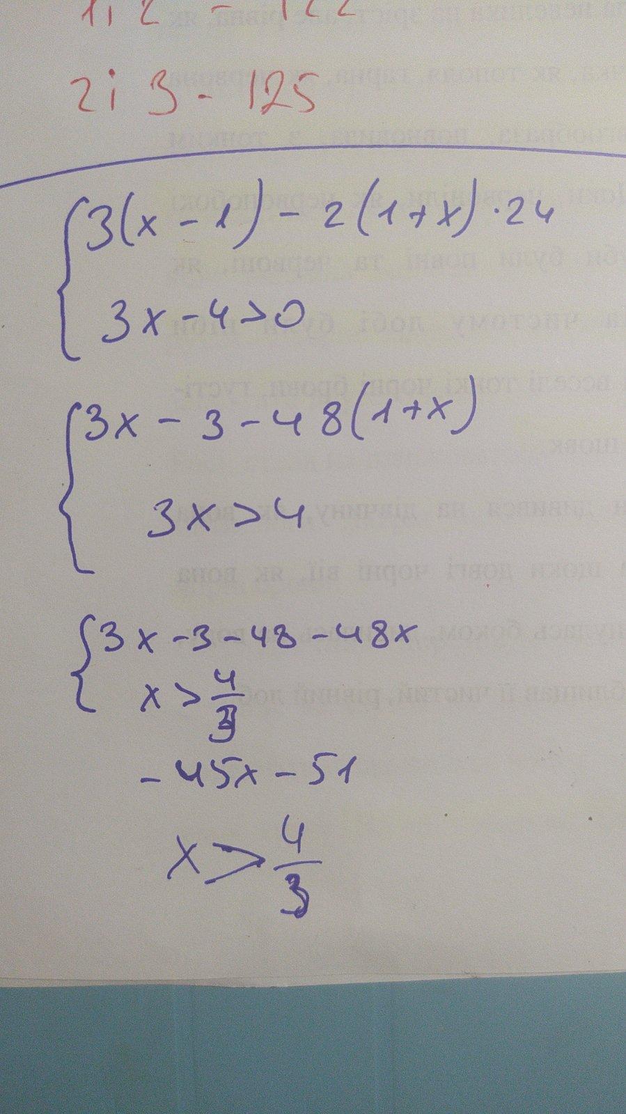
{3(x-1)-2(1+Х) 24
{3x-4>0
Помогите решить пожалуйста. Одна скобка в общем
Ответы
Автор ответа:
1
Відповідь:відповідь на фотографії
Пояснення:
Приложения:
Похожие вопросы
Предмет: Русский язык,
автор: ник1482
Предмет: Русский язык,
автор: daulet12341
Предмет: Русский язык,
автор: АзалияLove1
Предмет: Қазақ тiлi,
автор: ПринцессаЛена
Предмет: Информатика,
автор: aleximmortal11