Предмет: Математика,
автор: abdulazagasev51586
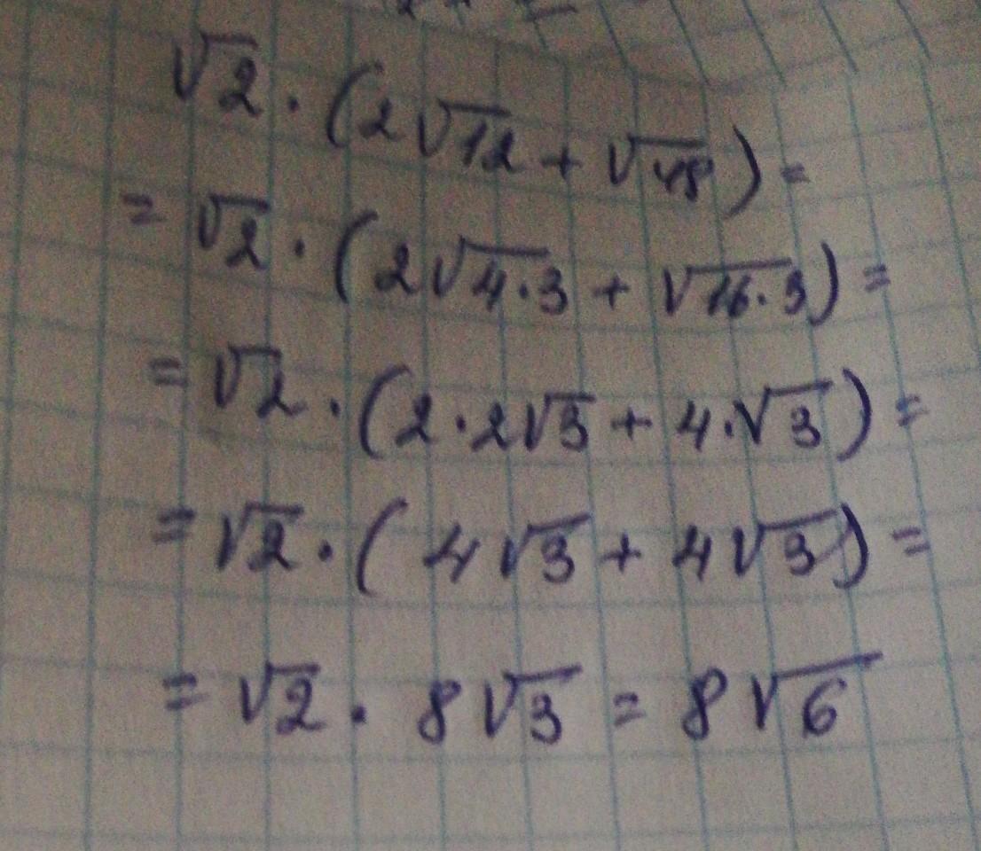
√2•(2√12+√48) Выполните действия
Помогите пожалуйста с полным решением
Ответы
Автор ответа:
1
Ответ:
Смотри решение на фото выше
Приложения:
Похожие вопросы
Предмет: Другие предметы,
автор: inqaalrfnz
Предмет: Окружающий мир,
автор: никита903
Предмет: Другие предметы,
автор: sernovaAi8gunoka
Предмет: Окружающий мир,
автор: aleksika25
Предмет: Математика,
автор: zhdansergey965