Предмет: Алгебра,
автор: usenkoanna55
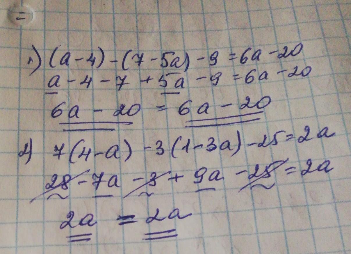
1)Доведіть тотожність ( а - 4) - (7 - 5а) - 9 = 6а - 20 *
2)Доведіть тотожність 7(4 - а) - 3( 1 - 3а) - 25 = 2а *
дам 40 баллов
Ответы
Автор ответа:
1
Ответ:
Смотри решение на фото выше
Приложения:
usenkoanna55:
спасибо тебе большое ❤️
Похожие вопросы
Предмет: Русский язык,
автор: Snapper
Предмет: Русский язык,
автор: mashulyas07
Предмет: Английский язык,
автор: iost091990
Предмет: Математика,
автор: RusKrut937
Предмет: Математика,
автор: ликалюбопытная