Предмет: Алгебра,
автор: dararanzeva87690
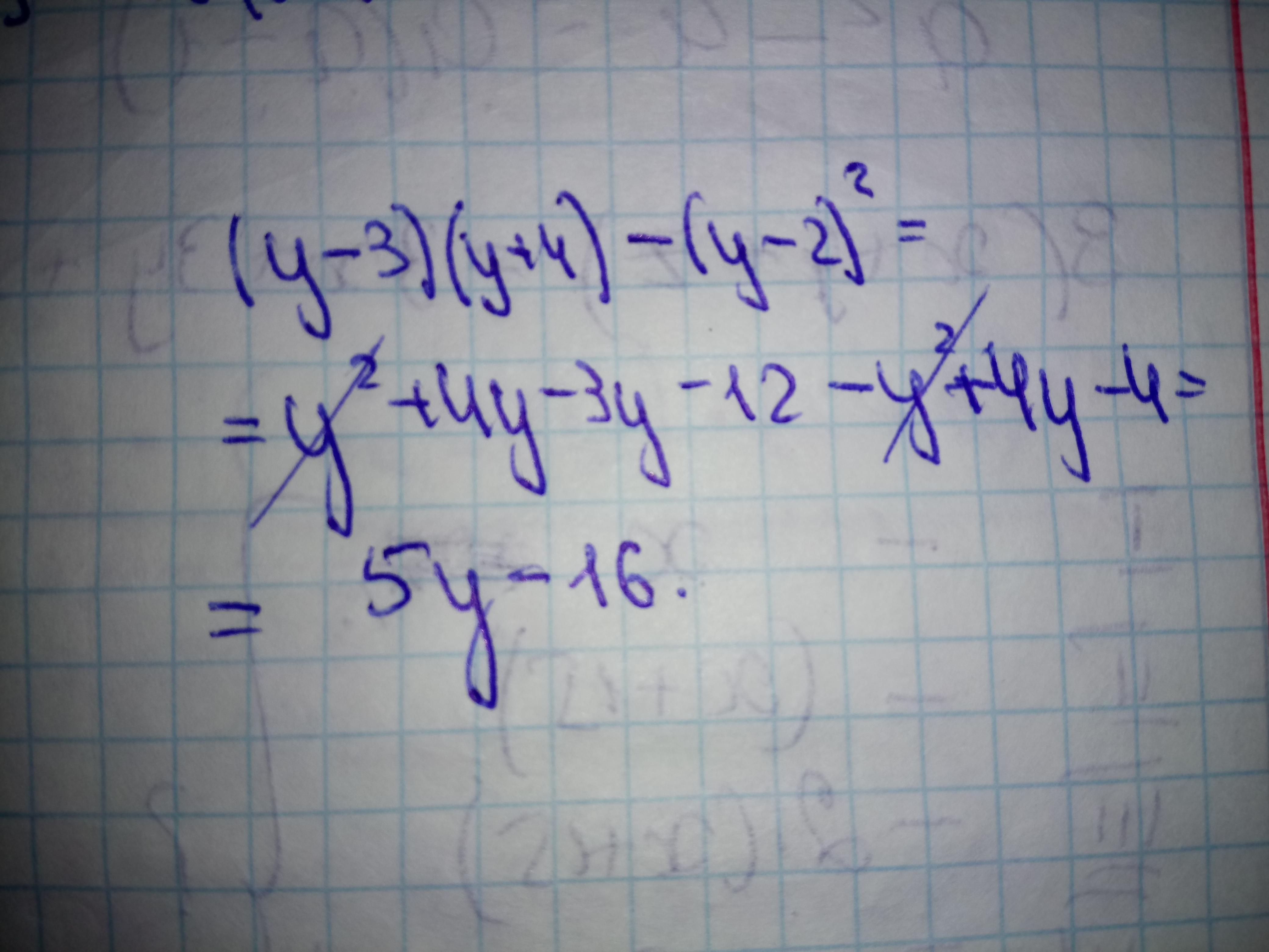
упростите выражение (у-3)(у+4)-(у-2)²
Ответы
Автор ответа:
1
Ответ:
5у-16
Объяснение:
(у²+4у-3у-12) - (у²-2×у×2+2²)= у²+4у-3у-12-у²+4у-4= 5у-16
dararanzeva87690:
спасибо храни вас бог
Автор ответа:
0
Решение задания прилагаю
Приложения:
Добрый день, valenivan. Помогите пожалуйста с задачей по математике. Заранее благодарю! https://znanija.com/task/45504544
Похожие вопросы
Предмет: Французский язык,
автор: Аноним
Предмет: Английский язык,
автор: anyta03
Предмет: Русский язык,
автор: ваня781
Предмет: Математика,
автор: A200326092008hT2007
Предмет: Алгебра,
автор: Warlok228