Предмет: Математика,
автор: garichevn
Нужна помощь!!!!!!!!
Приложения:
Simba2017:
наверное 0 будет....
Ответы
Автор ответа:
2
Ответ:
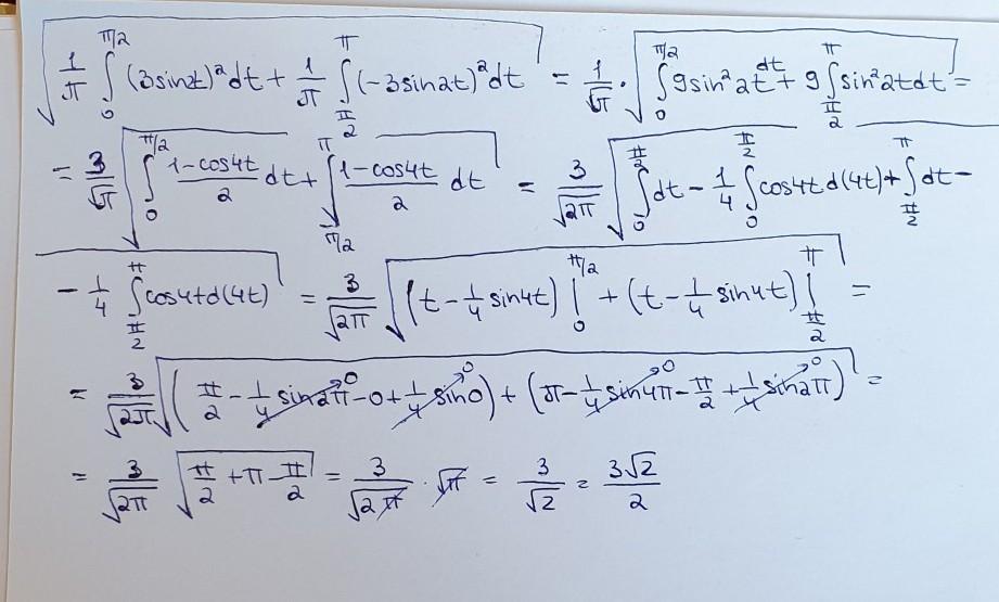
решение на фотографии.
Приложения:
благодарю вас!
помогите пожалуйста в профиле есть
Спасибо, все сошлось
Похожие вопросы
Предмет: Русский язык,
автор: zhukova5
Предмет: Русский язык,
автор: Диаша2005
Предмет: Русский язык,
автор: kseniyalyapina
Предмет: Математика,
автор: гуля476
Предмет: Математика,
автор: nika69692