Предмет: Математика,
автор: danikarbuzik
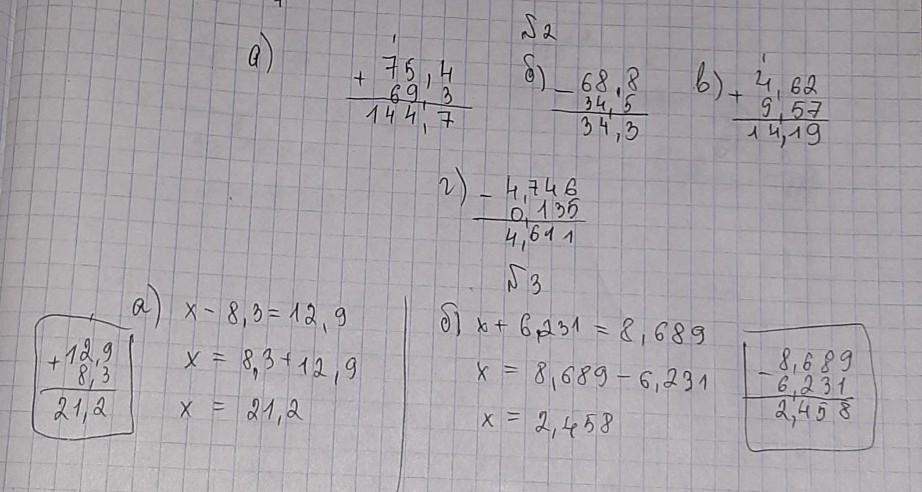
помогите сделать пж
Приложения:
Ответы
Автор ответа:
0
Ответ:
ворэахсэвдчзыхввхахахах
Пошаговое объяснение:
на фотр
Приложения:
Похожие вопросы
Предмет: Українська мова,
автор: roza302
Предмет: Қазақ тiлi,
автор: diasta2001
Предмет: Русский язык,
автор: Умнаяпчёлкажужа
Предмет: Геометрия,
автор: asikazaitofa536
Предмет: Математика,
автор: CheeseDolphin