Предмет: Химия,
автор: Аноним
100 БАЛОВ СРОЧНО
ЗА ОТВЕТЫ С 1 ПО 11
НЕ ПИСАТЬ НЕ ПРАВДУ
Приложения:
Ответы
Автор ответа:
2
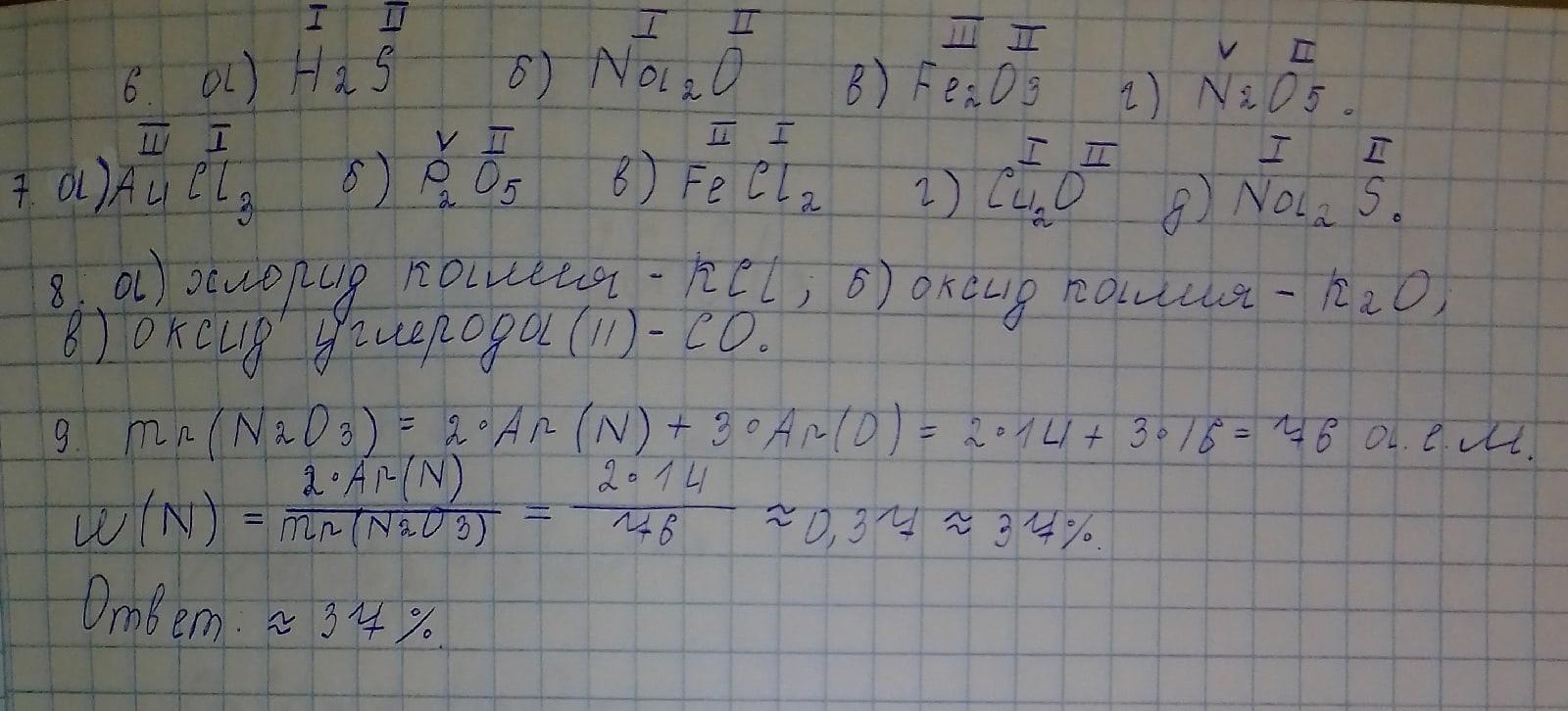
Ответ и решение смотрите в приложенных файлах.
Приложения:
Lizzie2018:
(◕‿◕)
Да, конечно, я перепроверила
Да не, спасибо, мне баллов не нужно)
Похожие вопросы
Предмет: Қазақ тiлi,
автор: elenashyplukova
Предмет: Английский язык,
автор: КотэБоб
Предмет: Английский язык,
автор: KsyPf09
Предмет: Физика,
автор: vikavelgan16
Предмет: Математика,
автор: email88