Предмет: Математика,
автор: aishapro67788
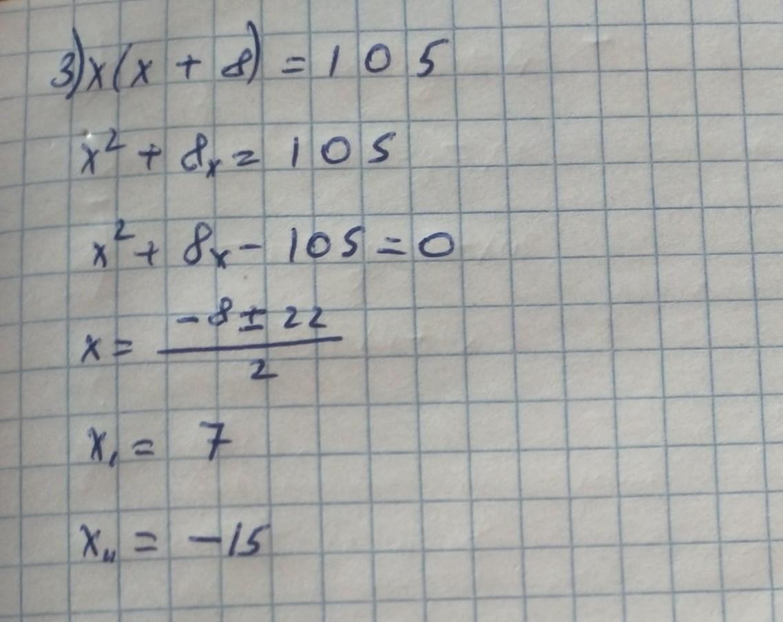
182 . Используя свойство пары делителей, угадайте корень урав- нения, выраженный натуральным числом: 1) х(х – 5) = 24; 2) х(х + 7) = 78; 3) х(х + 8) = 105. С
aishapro67788:
сможете быстро сделать
надо очень
Ответы
Автор ответа:
6
.....................
Приложения:
Похожие вопросы
Предмет: Русский язык,
автор: jkzrjcnrjdf
Предмет: Английский язык,
автор: kimaeva33
Предмет: Другие предметы,
автор: 87165191915
Предмет: Математика,
автор: DrBaPHiI
Предмет: Английский язык,
автор: Fox534678