Предмет: Алгебра, автор: maksimhard20

Номер 1.84 пожалуйста помогите мне срочно 1) 3)

Приложения:

Ответы

Автор ответа: bakulina1708
1

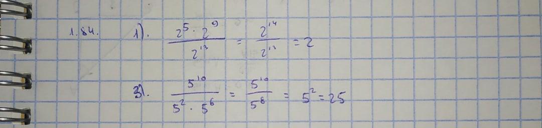
Ответ: на фото

Объяснение:

Приложения:

ziko180907: 1)2
ziko180907: 2)125
ziko180907: 3)25
Автор ответа: rakovaulia823
0

Ответ:

1.2

2.25 Надеюсь помогла Если нужен развёрнутый ответ то пиши


maksimhard20: Полностью
Похожие вопросы
Предмет: Английский язык, автор: Daryagorbach
Помогите перевести текст :

Racism in Britain Twenty years ago there used to be not so many blacks and Asians in local government or on TV as newsreaders: now it is very com mon. The culture of these people is becoming more and more part of British lifestyle. But can we say that racism has become a fact of the past or does it still exist? The British National Party (BNP), an extreme right-wing group is supported by about 4% of the population. The leaders of the party that they are a respectable party wanting to "preserve the future of Britain by sending ethnic minorities back to the country they come from." But their deeds speak louder than their words. The BNP's members take part in attacks on Asian people.
They and their supporters (of which there are about 20,000) claim that the blacks and Asians are stealing their jobs. But black and Asian people are two and a half times more likely to be unem- than whites. At the same time, there are a lot of Asians and blacks in medicine and law. The only way they are stealing white people's jobs is by getting better qualifications. As the British law allows all British citizens to get their education free, blacks and Asians get these job places in a fair competition with whites Many blacks and Asians were invited to Britain after the Second World War and in the 1950s and 60s when Britain needed work- ing hands. Immigrants were prepared to do the jobs white people did not want The BNP's idea of repatriation sounds especially strange if you remember that blacks and Asians are just as British as any other citizens of the country because most of them were born in the UK. It is natural that this problem worries British teenagers and they feel strongly about it. This is what some black and Asian teens said about racism. D h a r a: I feel half British, half Indian, torn between the two cultures. J a s k i r a n: don't think I could ever live in India. can't speak Punjabil very well and I feel like an outsider there. S h er i d a n: About ten years ago people threw bottles at my un cle because he was dating a white girl D u n j h a i s e: I don't think the BNP will get into power because Britain is so multi-cultural and I don't think the population will support them. They don't make me angry. I just think they're stupid