Предмет: Математика,
автор: fiberofast
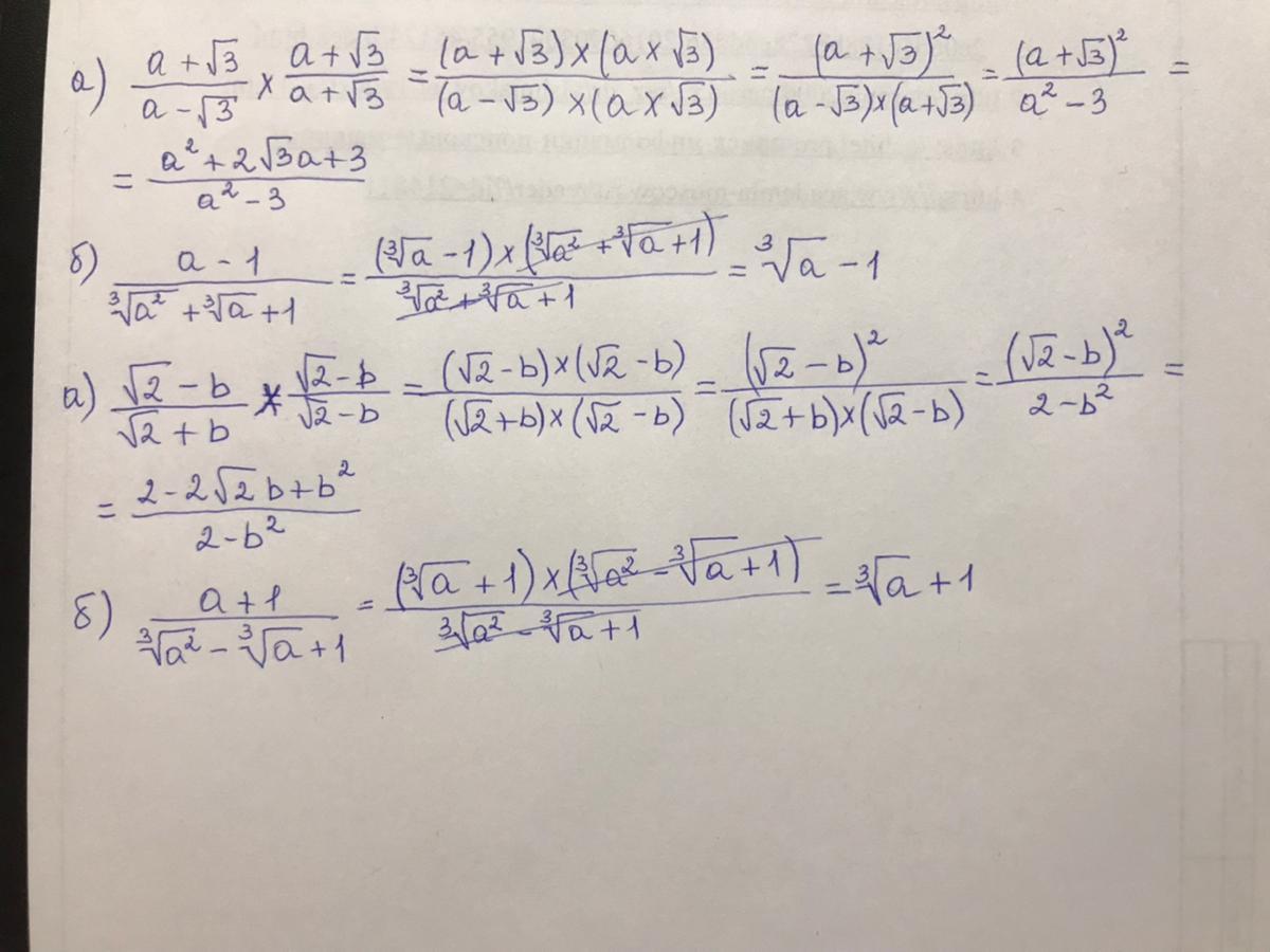
Помогите срочно 2 задание (пожалуйста сделайте на листочке и сфоткайте)
Приложения:
Ответы
Автор ответа:
1
Решение 2-го задания
Приложения:
fiberofast:
Дай бог тебе ЗДОРОВЬЯ И ТВОИМ БЛИЗКИМ
Похожие вопросы
Предмет: Английский язык,
автор: gulzadamailru
Предмет: Окружающий мир,
автор: vladislav103
Предмет: Русский язык,
автор: wwwlubalubaru
Предмет: Английский язык,
автор: Nasy14200
Предмет: Алгебра,
автор: Palmetron