Предмет: Алгебра,
автор: vfvfyntyjr
Помогите пожалуйста! Срочно нужно!
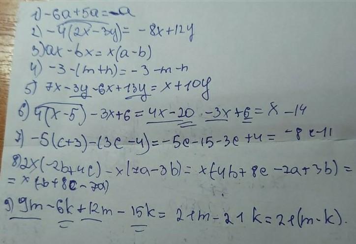
1)-6a+5a;
2)-4(2x-3x);
3)ax-bx;
4)-3-(m+n);
5)7x-3y-6x+13y;
6)4(x-5)-3x+6;
7)-5(c+3)-(3c-4);
8)2x(2b+4c)-x(7a-3b);
9)9m-6k+12m-15k.
Ответы
Автор ответа:
1
Объяснение:
ответ на листочке ))))))
Приложения:
Похожие вопросы
Предмет: Українська мова,
автор: nastalu
Предмет: Русский язык,
автор: pulll19831
Предмет: Русский язык,
автор: зарема88
Предмет: Информатика,
автор: Netka1
Предмет: Литература,
автор: Аноним