Предмет: Алгебра,
автор: kseniagalisnikova2
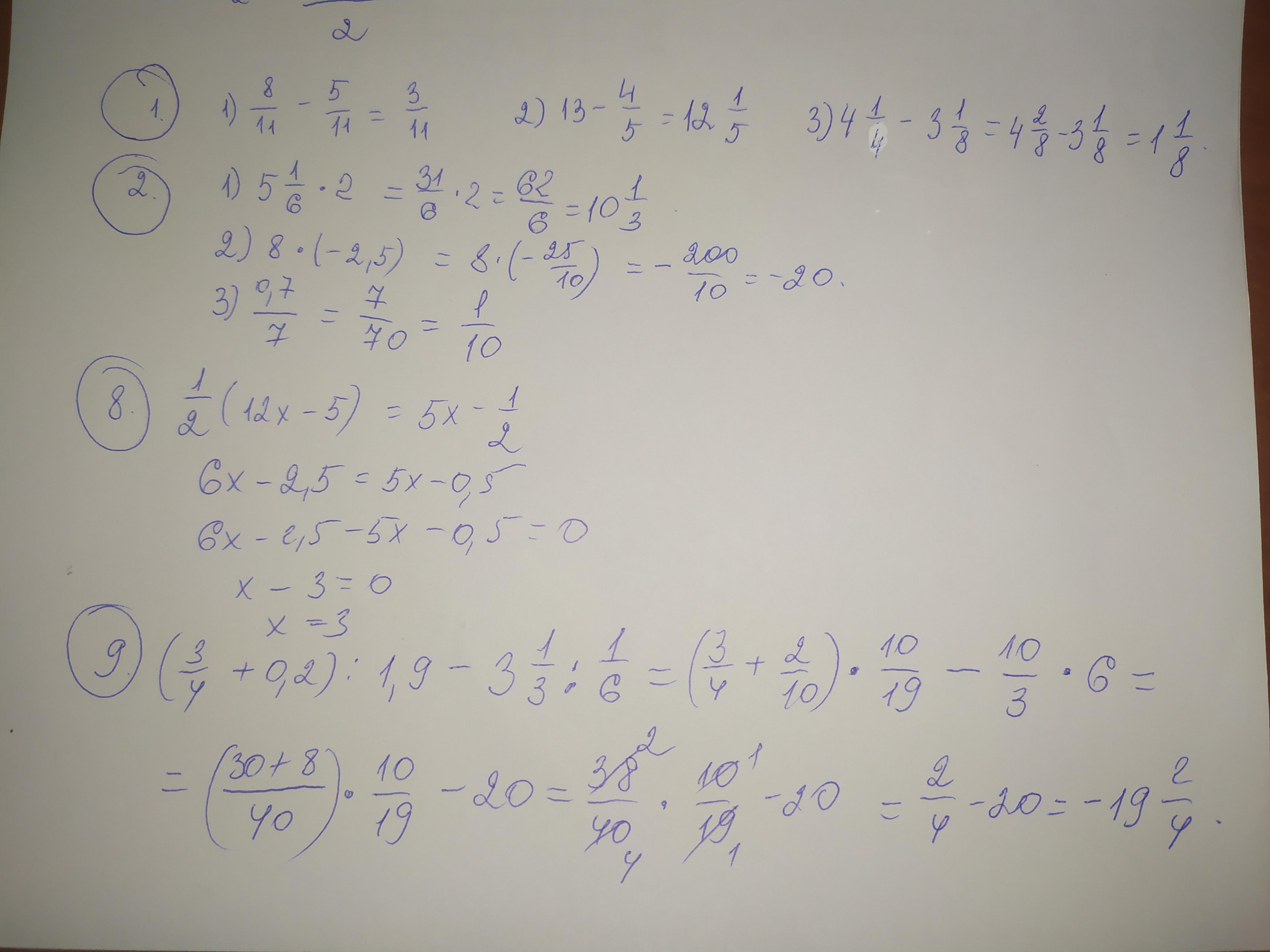
Решите пожалуйста! Лучше побыстрее ! 50 баллов. Решить 1,2,8,9
Приложения:
olgasurodina2009:
это не 50 б ты нас не обманешь
лол, ПаНиМаЮ тоже была это фигня
25 тоже норм
Ответы
Автор ответа:
2
Решение на фото
......
Приложения:
Похожие вопросы
Предмет: Русский язык,
автор: Аноним
Предмет: Русский язык,
автор: Аноним
Предмет: Русский язык,
автор: dmja1
Предмет: Математика,
автор: Аноним