Предмет: Алгебра, автор: Miа16

Алгебра. Даю 15 балів.

Приложения:

boberon: Что сделать нужно?

Ответы

Автор ответа: Matematiktm
1

Ответ:

Объяснение:

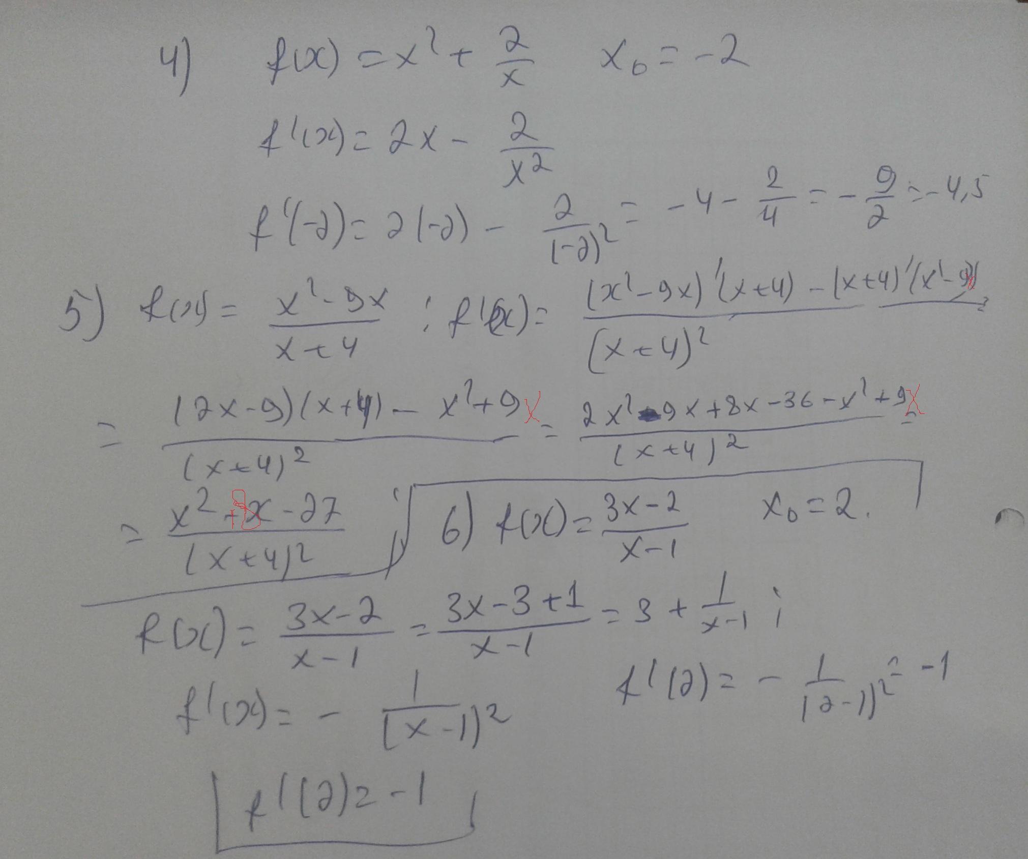
4-5-6 решено

Приложения:

boberon: В пятом примере в самом начале потеряли x: должно быть x² – 9x, у вас x² – 9.
Автор ответа: boberon
1

f(x) = x^2 + \dfrac{2}{x}\\\\f'(x) = 2x - \dfrac{2}{x^2}\\\\f'(-2) = 2(-2) - \dfrac{2}{2^2} = -4 - \dfrac{2}{4} = -\dfrac{9}{2} = -4.5

f(x) = \dfrac{x^2-9x}{x+4}\\\\f'(x) = \dfrac{(2x-9)(x+4) - (x^2-9x)}{(x+4)^2} = \dfrac{2x^2+8x-9x-36-x^2+9x}{(x+4)^2}=\dfrac{x^2+8x-36}{(x+4)^2}

f(x) = \dfrac{3x-2}{x-1}\\\\f'(x) = \dfrac{3(x-1) - (3x-2)}{(x-1)^2} = \dfrac{3x-3-3x+2}{(x-1)^2} = -\dfrac{1}{(x-1)^2}\\\\f'(2) = -\dfrac{1}{(2-1)^2} = -1

Похожие вопросы