Предмет: Математика,
автор: khalilgroove
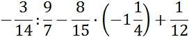
ПОМОГИТЕ ПОЖАЛУЙСТА!!! Вычислите:
Приложения:
Ответы
Автор ответа:
1
ㅤㅤㅤㅤㅤㅤㅤㅤㅤㅤㅤㅤㅤㅤㅤㅤㅤㅤㅤㅤㅤㅤ
Приложения:
Похожие вопросы
Предмет: Русский язык,
автор: АН161
Предмет: Другие предметы,
автор: фанзиля1
Предмет: Английский язык,
автор: ГлаМуррррррная
Предмет: Геометрия,
автор: r1237
Предмет: Математика,
автор: aymanali118199p0uwlx