Предмет: Математика,
автор: ober1729
пожалуйста
Освободите выражение от иррациональности в корне
Срочно!!!100баллов!
Приложения:
Ответы
Автор ответа:
0
Этот ответ, думаю подойдёт
Приложения:
Автор ответа:
0
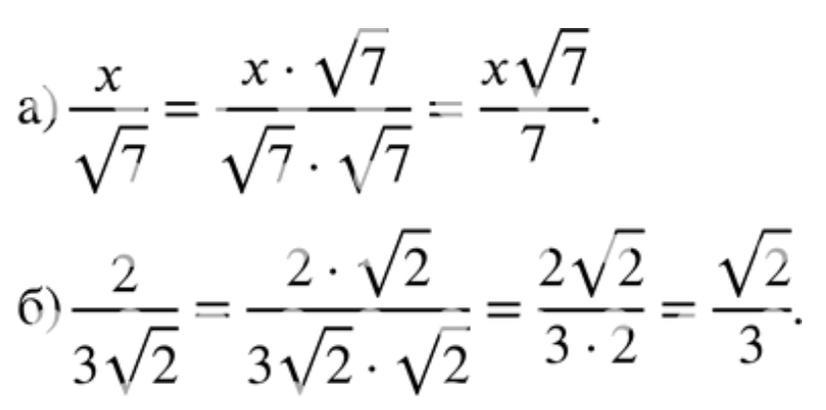
Ответ:
а)х/√7*√7/√7=х√7/√7√7=√7*x/7
Пошаговое объяснение:
б)2√2/3√2√2=2√2/3*2=√2/3
а)2√2a
б)а√ab/b
Похожие вопросы
Предмет: Окружающий мир,
автор: крутаярейперша
Предмет: Русский язык,
автор: nadyshka1984
Предмет: Английский язык,
автор: цива
Предмет: География,
автор: Emine2004
Предмет: Математика,
автор: lev20051