Предмет: Алгебра,
автор: Viktoria0955
Помогите с алгеброй пожалуйста
Приложения:
Ответы
Автор ответа:
1
Объяснение:
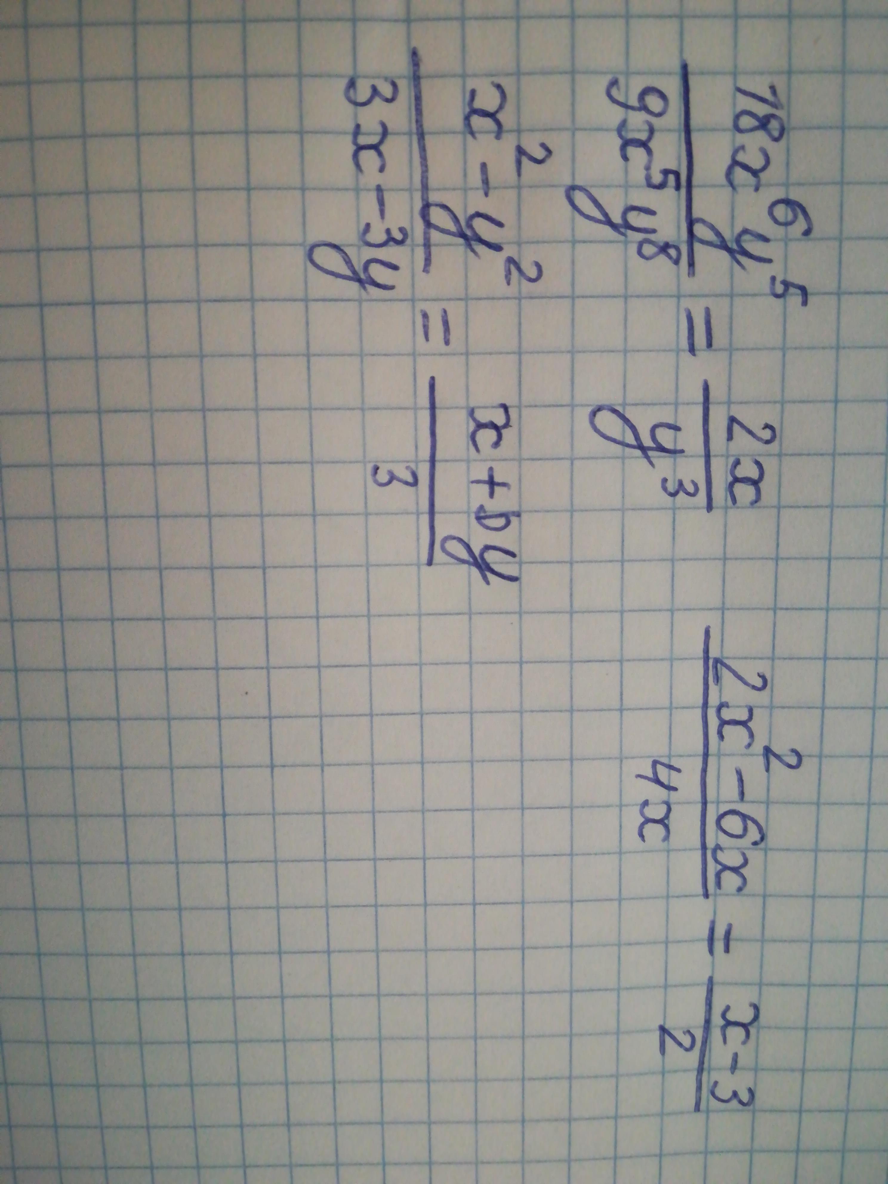
a) 2x/(y³)
b) 2x(x-3)/4x=(x-3)/2
c) (x-y)(x+y)/3(x-y)=(x+y)/3
Автор ответа:
1
Ответ:
Объяснение:
........
Приложения:
Похожие вопросы
Предмет: Русский язык,
автор: Milagd
Предмет: Русский язык,
автор: лиза111223445678800
Предмет: Русский язык,
автор: прь2
Предмет: Русский язык,
автор: Виталик332
Предмет: Русский язык,
автор: Артём2987