Предмет: Алгебра,
автор: lager816
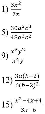
Сократите пжжжжжжж.
Приложения:
Ответы
Автор ответа:
1
Ответ:
Смотри решение на фото выше
Приложения:
Похожие вопросы
Предмет: Русский язык,
автор: rozap153mailru
Предмет: Русский язык,
автор: gulieva1
Предмет: Русский язык,
автор: ЭлеанораМелидова
Предмет: История,
автор: wingdinggasterp8d56x
Предмет: Математика,
автор: Aolsou