Предмет: Математика,
автор: zckaop
Пожалуйста помогите с решением
Приложения:
Ответы
Автор ответа:
1
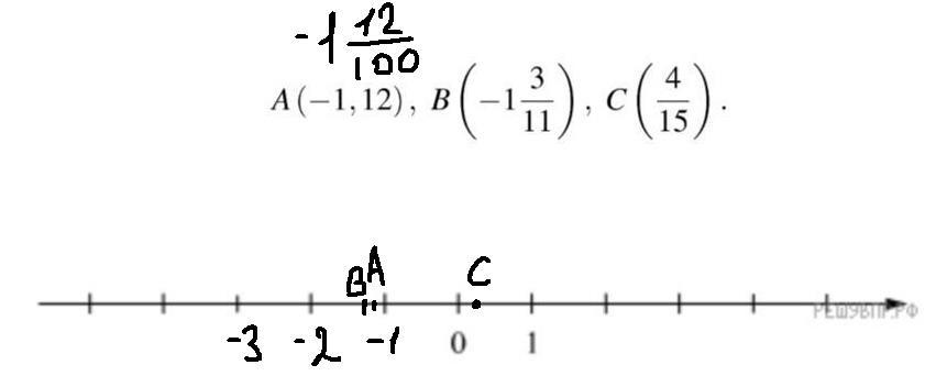
Ответ:
Смотрите фото.
Приложения:
Похожие вопросы
Предмет: Русский язык,
автор: нуриза4433
Предмет: Английский язык,
автор: Аноним
Предмет: Окружающий мир,
автор: carrot06
Предмет: Математика,
автор: LoveEovlLove
Предмет: Українська мова,
автор: ValeriaSalvatore