Предмет: Математика, автор: yanakur07

помогитеееееее много баллов​

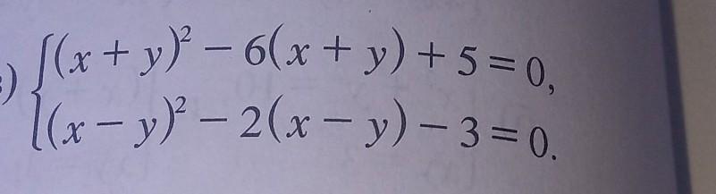
Приложения:

Ответы

Автор ответа: temosh885
1

Пошаговое объяснение:

ответттттттттттттттттт

Приложения:
Похожие вопросы
Предмет: Английский язык, автор: ляляля38
Предмет: Английский язык, автор: romashka19956
Ex. 68. Open the brackets using the verbs in the Simple Past or Past Continuous.
1. They (to translate) … a difficult text yesterday. 2. I (to open) … the window at six o’clock yesterday. 3. You (to go) … to the cinema yesterday? 4. I (not to see) … Mike last week. 5. When I (to open) … the door, my friends (to sit) … around the table. 6. When you (to begin) … doing your homework yesterday? 7. We (to discuss) … the latest news from three till four yesterday. 8. When I (to read) … the newspaper yesterday, I (to find) … an interesting article on UFOs. 9. Lily (to sweep) … the floor on Sunday. 10. Margo (to sweep) … the floor from eleven till twelve on Sunday. 11. They (to go) … to the wood last Sunday. 12. They (to go) … to the wood last Sunday? 13. When they (to sail) … down the river, they (to see) … a little island. 14. We (to work) … the whole morning yesterday. 15. Mother (to cook) … dinner at three o’clock yester-36 day. 16. She (to finish) … cooking diner at four o’clock yesterday. 17. At half past four yesterday we (to have) … dinner. 18. “You (to watch) … TV yesterday?” “Yes, we (to watch) … TV the whole evening yesterday.” 19. When you (to go) … to bed yesterday? 20. At half past ten yesterday I (to sleep) … . 21. When I (to come) … home from school yesterday, my little brother (to sit) … on the floor with all his toys around him. He (to play) … with them. I (to tell) … him to put his toys into his box as he (to make) … too much noise.
Предмет: Русский язык, автор: какоймеркой
Предмет: Биология, автор: puxlya1