Предмет: Алгебра,
автор: nurdaulet137034
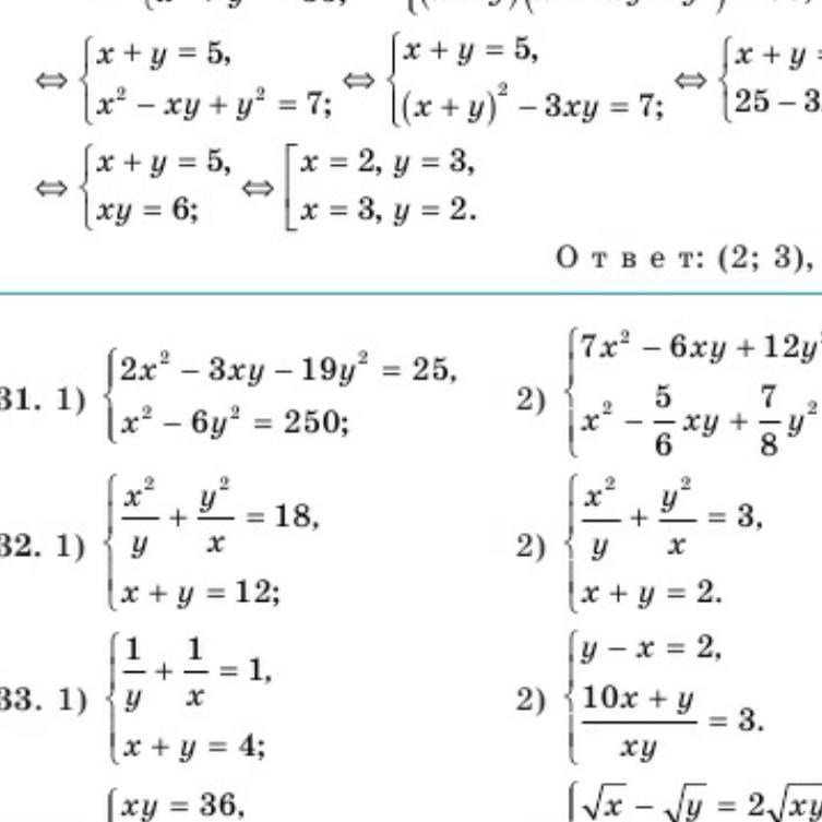
решиье систему уравнений 1.31 1.32
Приложения:
Ответы
Автор ответа:
2
Ответ:
Объяснение:.................
Приложения:
lidiasaraa3:
аналогично 1.32(2)
А можешь еще сделать 2 1.32
Похожие вопросы
Предмет: Русский язык,
автор: 01006
Предмет: Окружающий мир,
автор: 0Пончик0
Предмет: Русский язык,
автор: olesadolgova
Предмет: Русский язык,
автор: mahamet1
Предмет: Русский язык,
автор: Marikppe