Предмет: Алгебра,
автор: fktrc123446789
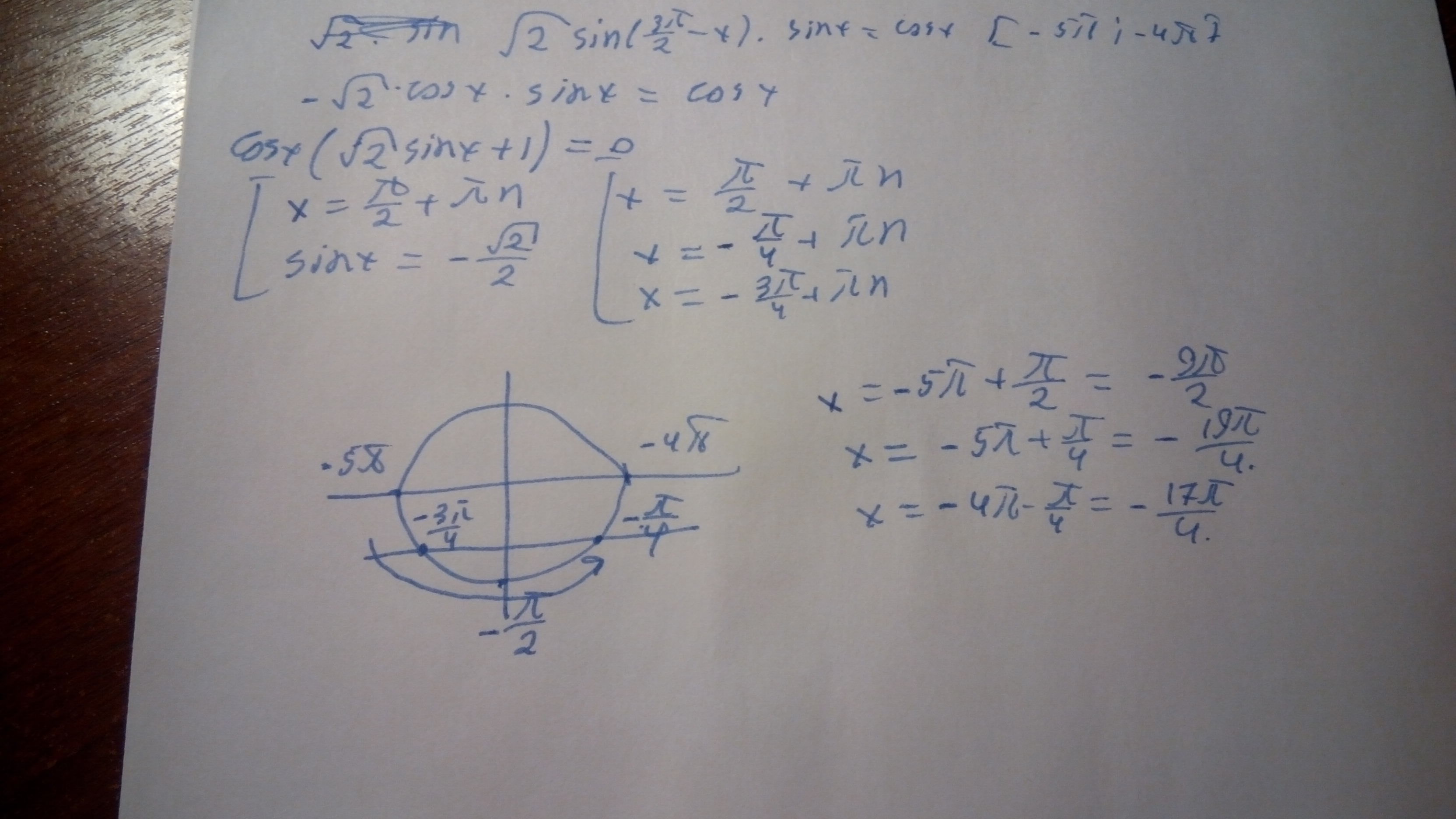
корень из 2*sinx (3п/2 -х)* sinx= cosx [-5п -4п] решите пожалуйста от этого зависит моя оценка
Ответы
Автор ответа:
0
Решение на фотографии
Приложения:
Похожие вопросы
Предмет: Математика,
автор: tupoktoto34
Предмет: Английский язык,
автор: aselmedetbekova97
Предмет: Английский язык,
автор: artemchelnokov
Предмет: Математика,
автор: plelchuk
Предмет: Литература,
автор: Nata0909