Предмет: Алгебра,
автор: Аноним
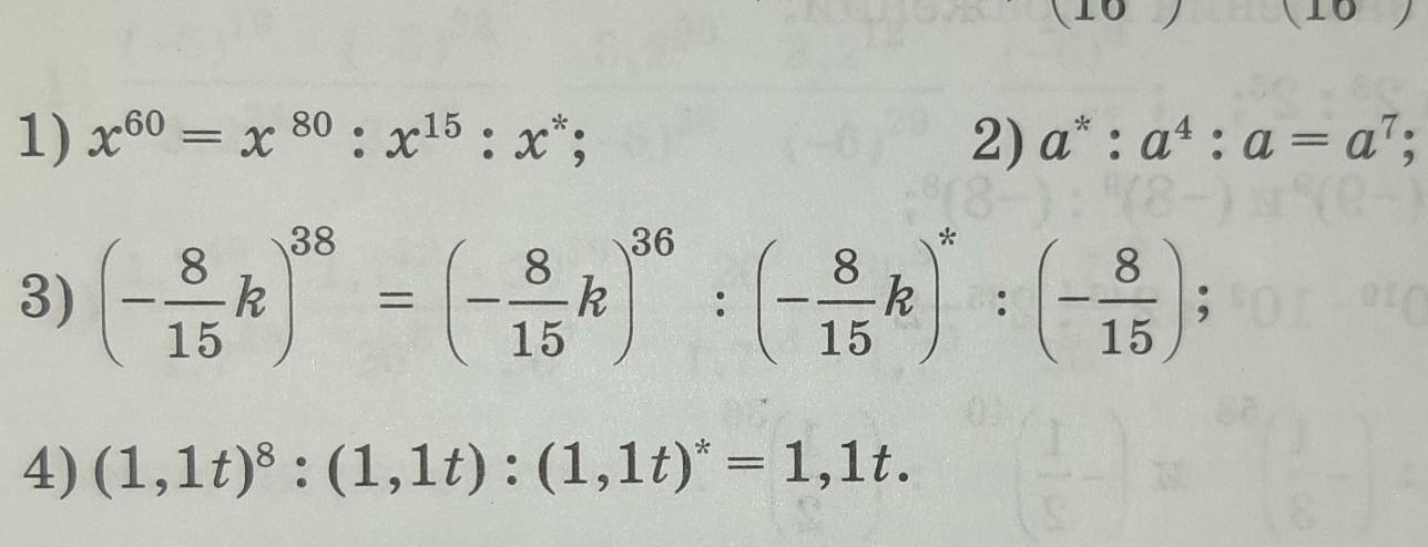
ПОМОГИТЕ СРОЧНО С АЛГЕБРОЙ 7 КЛАСС ДАЮ 20 БАЛЛОВ 1)x⁶⁰=x⁸⁰:x¹⁵:x*
2)a*:a⁴a=a⁷
3)(-8/15k)³⁸=(-8/15k)³⁶:(-8/15k)*:(-8/15)
Приложения:
Ответы
Автор ответа:
1
Ответ:
Объяснение:
Используя основное свойство деления показателей степеней с одинаковыми основаниями (при делении показатели степеней вычитаются).
1) x⁶⁰ = x⁸⁰ : x¹⁵ : x⁵ = x⁸⁰⁻¹⁵⁻⁵
2) a¹² : a⁴ : a = a⁷ = a¹²⁻⁴⁻¹
3) (-8/15k)³⁸ = (-8/15k)³⁶ : (-8/15k)⁻³ : (-8/15k) = (-8/15k)³⁶⁻⁽⁻³⁾⁻¹ = (-8/15k)³⁶⁺³⁻¹
4) (1,1t)⁸ : 1,1t : (1,1t)⁶ = 1,1t = 1,1t⁸⁻¹⁻⁶
Похожие вопросы
Предмет: Английский язык,
автор: Аноним
Предмет: Русский язык,
автор: Маша1452
Предмет: Русский язык,
автор: Аноним
Предмет: Математика,
автор: 938778
Предмет: Алгебра,
автор: Аноним