Предмет: Математика,
автор: hzkto5678975
помогите пожалуйста,очень надо
Приложения:
Ответы
Автор ответа:
1
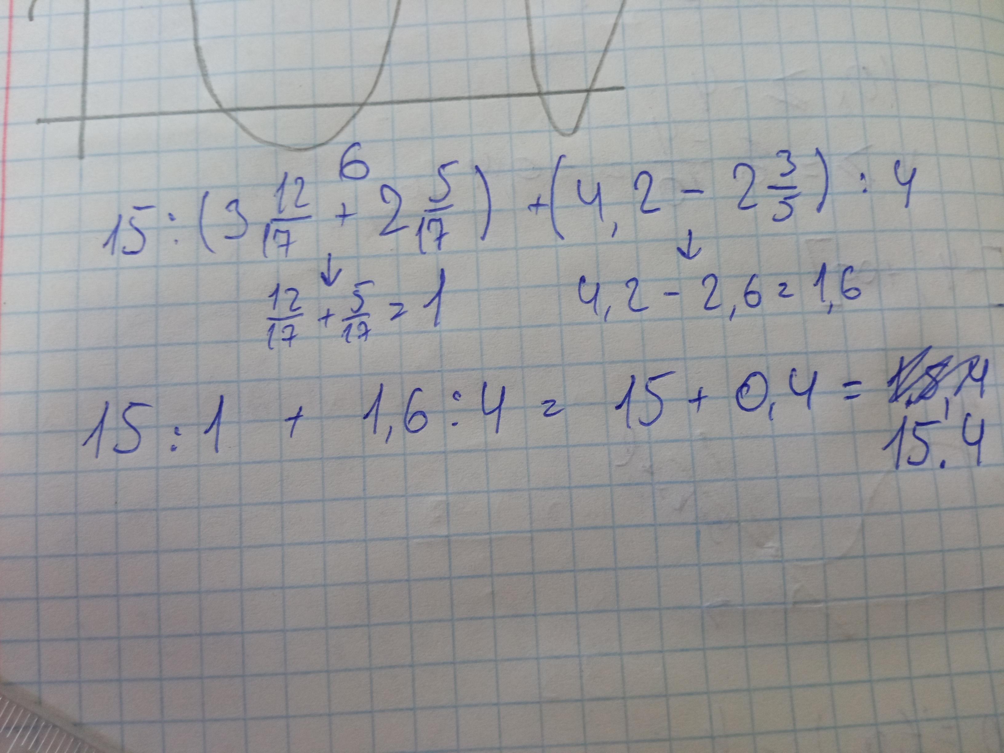
Ответ:
Пошаговое объяснение:решаем скобки,потом деление или умножение,складываем
Приложения:
Похожие вопросы
Предмет: Русский язык,
автор: tanyanikolaevn
Предмет: Русский язык,
автор: znanija28
Предмет: Английский язык,
автор: misssamx4319
Предмет: Математика,
автор: daryamiass05