Предмет: Алгебра,
автор: qoowaiq
Ради иссуса хреста помогите пожалуйста
Приложения:
Ответы
Автор ответа:
0
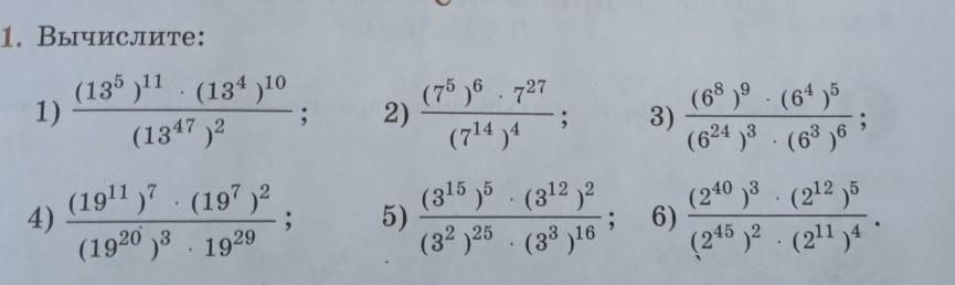
13⁵⁵×13⁴⁰ 13⁹⁵ 1
‐‐‐‐‐‐‐‐‐‐‐‐‐‐‐= ‐‐‐‐‐‐‐‐= 14 ‐‐‐‐
13⁹⁴ 13⁹⁴ 94
Похожие вопросы
Предмет: Русский язык,
автор: Добрый0ёжик
Предмет: Русский язык,
автор: KhairyllinMynir
Предмет: Қазақ тiлi,
автор: Аноним
Предмет: География,
автор: 03793