Предмет: Алгебра,
автор: MaNgLeNiletto
Вычислите:
а) 5×(-3)³+7=
б) -2×(-1,1)²-15=
в) 10-7×(-2)⁷=
г) -20-10×(-0,1)²=
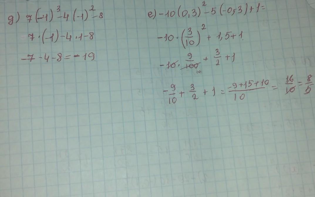
д) 7×(-1)³-4×(-1)²-8=
е) -10×(-0,3)²-5×(-0,3)+1=
Ответы
Автор ответа:
1
Ответ:
ну вот пожалуйста надеюсь всё правильно
Приложения:
Похожие вопросы
Предмет: Українська література,
автор: kylukluda
Предмет: Английский язык,
автор: Надежда1411
Предмет: Русский язык,
автор: unitu
Предмет: История,
автор: Neyk7
Предмет: Русский язык,
автор: maruha3008