Предмет: Алгебра, автор: soskabomba

пжжжж помогитеее сссрочно даю все свои баллл​

Приложения:

Ответы

Автор ответа: bb573878
1

Ответ:

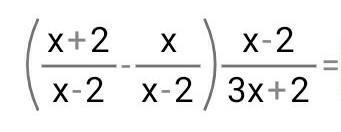
Объяснение:

\displaystyle\bf\\\Bigg(\frac{x+2}{x-2} -\frac{x}{x-2} \Bigg)\cdot\frac{x-2}{3x+2}=\frac{x+2-x}{x-2}\cdot\frac{x-2}{3x+2}= \frac{2}{3x+2}

Похожие вопросы
Предмет: Русский язык, автор: Kristilove2007
Предмет: Английский язык, автор: mortalhoselskt
Предмет: Алгебра, автор: Mukhammed2003