Предмет: Физика,
автор: kolyazakrevskiy4
Даю 60 баллов задание по физике 9 класс
Приложения:
Ответы
Автор ответа:
1
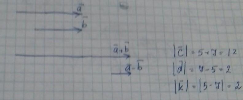
Ответ:
12, 2, 2.
Объяснение:
для d и k модули вектора равны.
Приложения:
Похожие вопросы
Предмет: Русский язык,
автор: никитос92
Предмет: Русский язык,
автор: Алтария640
Предмет: Окружающий мир,
автор: koshak5
Предмет: Математика,
автор: vsabko
Предмет: Математика,
автор: ПолныйОоооовощ