Предмет: Математика,
автор: mahandreeva784
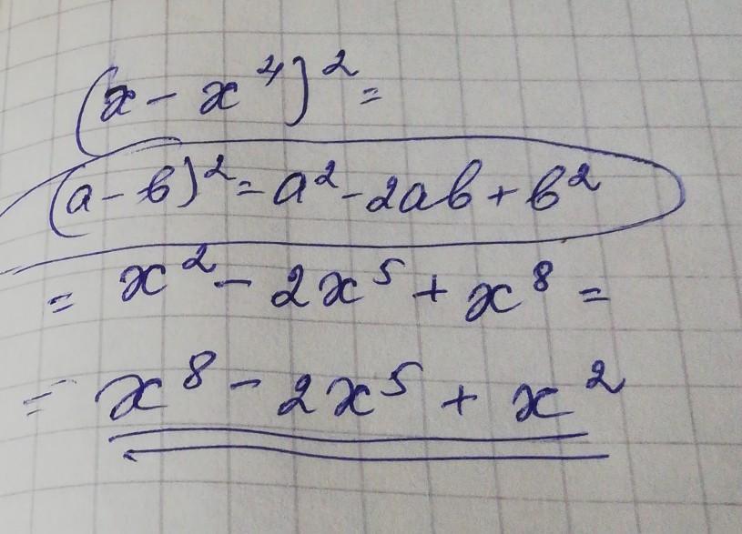
спростити вираз: (x-x⁴) ²
Ответы
Автор ответа:
0
Пошаговое объяснение:
..........................
Приложения:
Автор ответа:
0
Ответ:
Смотри решение на фото выше
Приложения:
Похожие вопросы
Предмет: Русский язык,
автор: ak103ddd
Предмет: Русский язык,
автор: masha415
Предмет: Русский язык,
автор: 230204
Предмет: История,
автор: Владислава4567
Предмет: Математика,
автор: Shfm82