Предмет: Алгебра,
автор: 77arina08
помогите пожалуйста то что на первом фото желательно подробно
Приложения:
Ответы
Автор ответа:
1
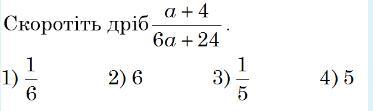
Ответ:
1) 1/6
вот как то так можешь посмотреть в калькуляторе
77arina08:
спасибо,а то что на первом фото?
Похожие вопросы
Предмет: Русский язык,
автор: Агата999
Предмет: Русский язык,
автор: nikotina1nikotina
Предмет: Английский язык,
автор: Алёшка777
Предмет: Химия,
автор: Аноним