Предмет: Математика,
автор: rrrrr554
помогите срочно пожалуйста
Приложения:
Ответы
Автор ответа:
1
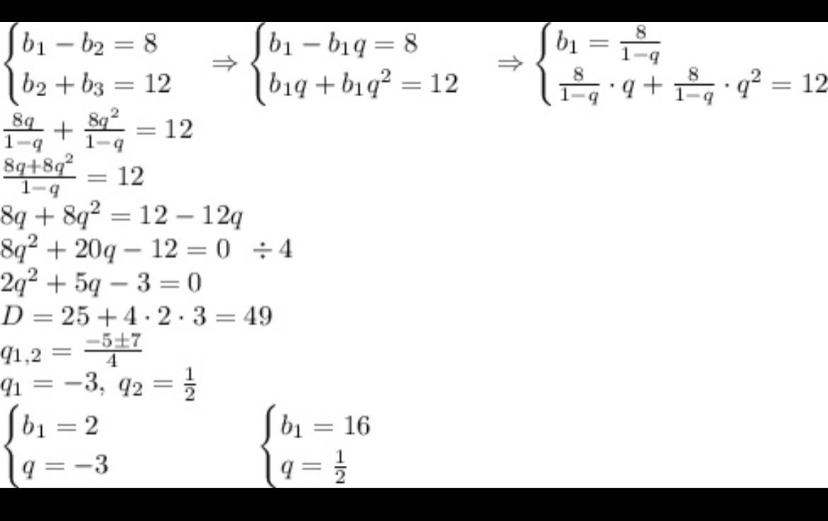
Пошаговое объяснение:
см фото,,,,,,,,,,,,,,,,,,,,,,
Приложения:
rrrrr554:
спасибо
Автор ответа:
1
Ответ:
См файл во вложении
Приложения:
спасибо
Похожие вопросы
Предмет: Українська література,
автор: 4445463
Предмет: Українська мова,
автор: натали232
Предмет: Английский язык,
автор: РК1
Предмет: Математика,
автор: Andso
Предмет: Алгебра,
автор: Hy6ik