Предмет: Алгебра,
автор: regegef
Решите систему неравенств пожалуйста! С объяснением!!!!!!!!!
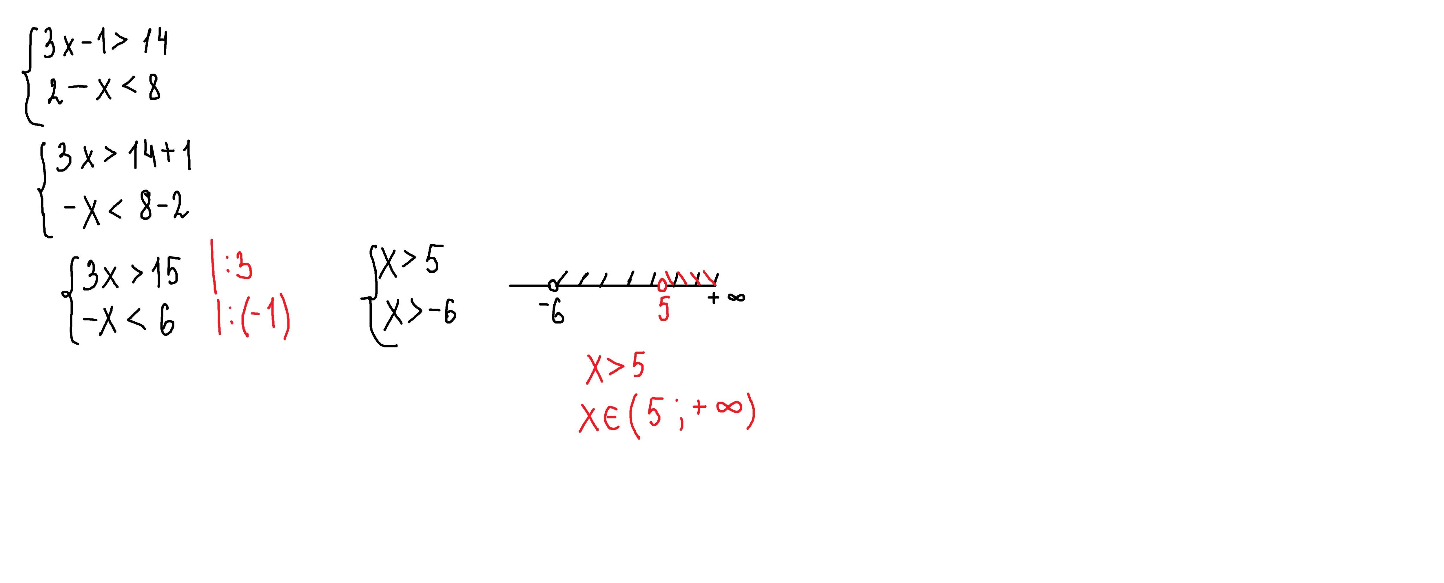
3х-1>14
2-x<8
Ответы
Автор ответа:
1
Ответ:
х> 5
Объяснение:
решение внизу
Приложения:
regegef:
спасибо!
пожалуйста
Похожие вопросы
Предмет: Окружающий мир,
автор: анюта61
Предмет: Русский язык,
автор: yankovaya05
Предмет: Английский язык,
автор: аопопопрплроррррррр
Предмет: Қазақ тiлi,
автор: 13326
Предмет: Українська мова,
автор: Аноним