Предмет: Алгебра,
автор: zxsurced
помогите пожалуйста
3. Используя свойства степеней, найдите значение выражения:
Приложения:
zxsurced:
пж
прошу
Ответы
Автор ответа:
2
Объяснение:
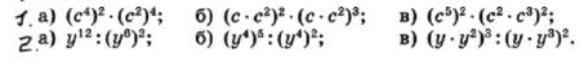
1. a) (c⁴)²×(c²)⁴=c⁸×c⁸=c¹⁶ б) (с×с²)²×(с×с²)³=с⁶×с⁹=с¹⁵
в) (с⁵)²×(с²×с³)²=с¹⁰×с¹⁰=с²⁰
2. а) у¹²:(у⁶)²=у¹²:у¹²=1 б) (у⁴)⁵:(у⁴)²=у²⁰:у⁶=у¹⁴
в) (у×у²)³:(у×у³)²=у⁹:у⁸=у
Похожие вопросы
Предмет: Английский язык,
автор: LeraLyk9ninko
Предмет: Українська мова,
автор: gordiychykev
Предмет: Другие предметы,
автор: veezor21
Предмет: Химия,
автор: енот189
Предмет: История,
автор: naday172005