Предмет: Алгебра,
автор: zxsurced
СРОЧНО!
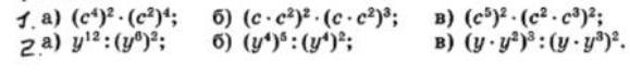
3. Используя свойства степеней, найдите значение выражения:
Приложения:
Ответы
Автор ответа:
0
Ответ:
Вот ответ пж ставь лайк !!
Приложения:
Похожие вопросы
Предмет: Русский язык,
автор: олга6791
Предмет: Русский язык,
автор: Женя1385
Предмет: Русский язык,
автор: умный86
Предмет: Английский язык,
автор: nikitagerasimo3
Предмет: Алгебра,
автор: ghy54