Предмет: Алгебра, автор: timatn130

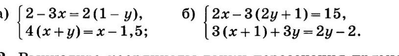
помогите решить два примера пж. Решение систем линейных уравнений.​

Приложения:

Ответы

Автор ответа: xxxmilka
2

1. {2-3x=2(1-y)

  {4(x+y)=x-1,5

  {x=2/3y

  {4(x+y)=x-1,5

4(2/3y+y)=2/3y-1,5

y=-1/4

x=2/3*(-1/4)

x=-1/6

(x,y)=(-1/6,-1/4)

2. {2x-3(2y+1)=15

   {3(x+1)+3y=2y-2

   {x=9+3y

   {3(x+1)+3y=2y-2

3(9+3y+1)+3y=2y-2

y=-16/5

x=9+3*(-16/5)

x=-3/5

(x,y)=(-3/5,-16/5)

Автор ответа: Universalka
0

\displaystyle\left \{ {{2-3x=2(1-y)} \atop {4(x+y)=x-1,5}} \right\\\\\\\displaystyle\left \{ {{2-3x=2-2y} \atop {4x+4y=x-1,5}} \right. \\\\\\\displaystyle\left \{ {{-3x+2y=0} \ |\cdot(-2) \atop {3x+4y=-1,5}} \right.\\\\\\+\displaystyle\left \{ {{6x-4y=0} \  \atop {3x+4y=-1,5}} \right. \\----------\\9x=-1,5\\\\x=-\dfrac{1}{6}\\\\2y=3x=3\cdot(-\frac{1}{6})=-\frac{1}{2}\\\\y=-\frac{1}{2}:2=-\frac{1}{4} \\\\Otvet:\boxed{(-\frac{1}{6} \ ; \ -\frac{1}{4} )}       .

\displaystyle\left \{ {{2x-3(2y+1)=15} \atop {3(x+1)+3y=2y-2}} \right\\\\\\\displaystyle\left \{ {{2x-6y-3=15} \atop {3x+3+3y=2y-2}} \right\\\\\\\displaystyle\left \{ {{2x-6y=18} \atop {3x+y=-5} \ |\cdot6} \right\\\\\\+\displaystyle\left \{ {{2x-6y=18} \atop {18x+6y=-30} } \right\\----------\\20x=-12\\\\x=-0,6\\\\y=-3x-5=-3\cdot(-0,6)-5=1,8-5=-3,2\\\\Otvet:\boxed{(-0,6 \ ; \ -3,2)}

Похожие вопросы
Предмет: Английский язык, автор: foxy99
Предмет: Английский язык, автор: georg37
Предмет: Алгебра, автор: ymkovladyslav