Предмет: Алгебра,
автор: oakmerden
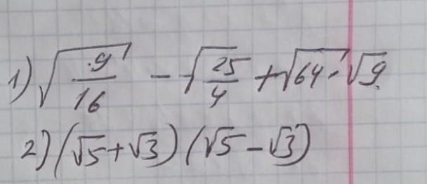
алгебра 9 класс помогите по братский сроочноо надо !!!!!!!!!!!!
Приложения:
Sanya2263:
Какое последнее действие в 1 примере? Умножение или вычитание?
Ответы
Автор ответа:
1
1) 3/4-5/2+8*3 = -1,75+24 = 22,25
2) (√5)²-(√3)² = 5-3 = 2
Похожие вопросы
Предмет: Русский язык,
автор: света283
Предмет: Русский язык,
автор: googl2004
Предмет: Немецкий язык,
автор: anyutakochkina
Предмет: Английский язык,
автор: Софья22811
Предмет: Математика,
автор: prohoryall