Предмет: Алгебра,
автор: demidenkotanya
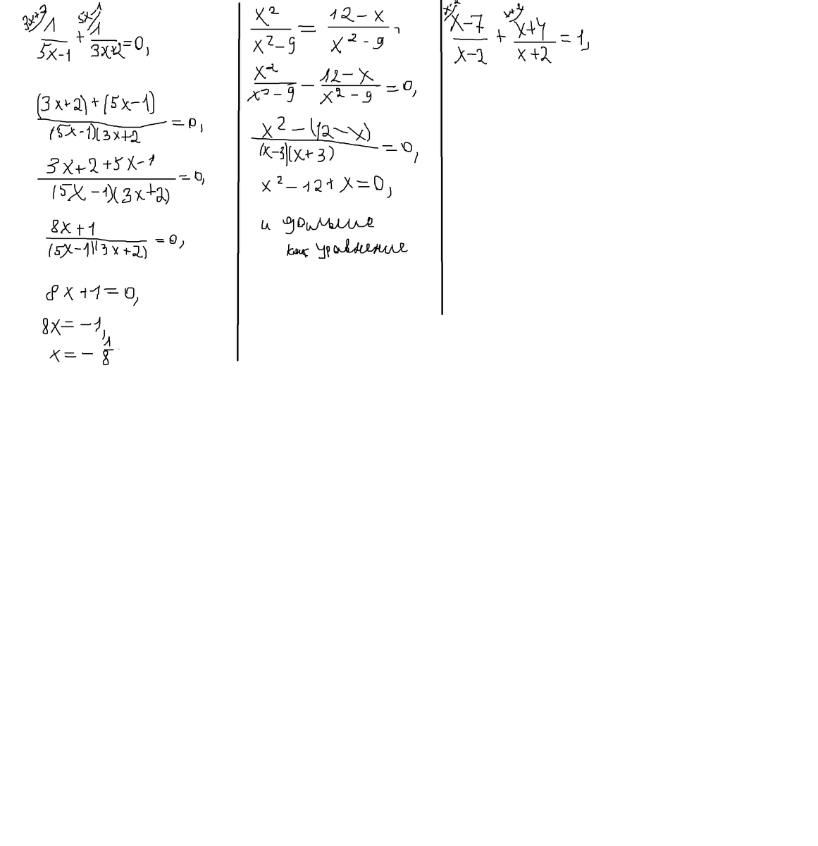
Помогите решить уравнения по алгебре 8 класс
Приложения:
Ответы
Автор ответа:
0
вот решение,но только дальше сама :)
Приложения:
Похожие вопросы
Предмет: Қазақ тiлi,
автор: lupipoopi0
Предмет: Математика,
автор: Аноним
Предмет: Геометрия,
автор: 321НаЗдЯ123
Предмет: Физика,
автор: VanillaIce19