Предмет: Математика,
автор: Аноним
помогите решить, даю 20 баллов за решение.
Приложения:
Ответы
Автор ответа:
2
Ответ:
Пошаговое объяснение:
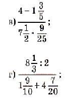
В.
1) 4 - 1. 3/5 = 3. 5/5 - 1. 3/5 = 2. 2/5
Это числитель
2) 7. 1/2 * 9/25 = 15/2 * 9/25 = 3/2 * 3/5 = 9/10
Это знаменатель
3) 2. 2/5 : 9/10 = 12/5 : 9/10 = 12/5 * 10/9 = 4/1 * 2/3 = 8/3 = 2. 2/3
Это результат всего примера
Ответ: 2. 2/3
Г.
1) 8. 1/3 : 2 = 25/3 : 2 =
25/3 * 1/2 = 25/6
Это числитель
2) 1. 9/10 + 4. 7/20 =
1. 18/20 + 4. 7/20 =
5. 25/20 = 6. 5/20 = 6. 1/4
Это знаменатель
3) 25/6 : 6. 1/4 =
25/6 : 25/4 = 25/6 * 4/25 = 4/6 = 2/3
Это результат всего примера
Ответ: 2/3
Похожие вопросы
Предмет: Русский язык,
автор: Аноним
Предмет: Английский язык,
автор: LoLLiday
Предмет: Українська мова,
автор: konstantinova841
Предмет: Алгебра,
автор: PlayWithSERCH
Предмет: Английский язык,
автор: няшамилаша500