Предмет: Алгебра,
автор: Аноним
........................
Приложения:
Ответы
Автор ответа:
2
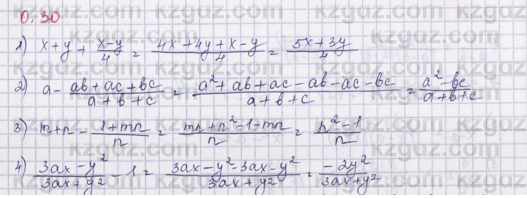
Ответ:
Вот держый есле что это я прашол хахахах есле дамашку не умееш вот на случи дамашки я тебе дам +77475132008
Приложения:
amirsarbalinov539:
абрашайся
;)
Похожие вопросы
Предмет: Русский язык,
автор: людмила67
Предмет: Русский язык,
автор: ИванКриворуков
Предмет: Русский язык,
автор: маша731
Предмет: Алгебра,
автор: П4EЛA