Предмет: Алгебра,
автор: ochinikov
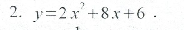
найдите х вершину и у вершину и напишите как нашли))
Приложения:
Ответы
Автор ответа:
0
Находим Хо по формуле:
Хо = -b/2a = -8/2*2 = -2
Чтобы найти Yо, надо Хо подставить в уравнение:
Yo = 2*(-2)^2 + 8*(-2) + 6
Yo = -2
Таким образом, координаты вершины:
(-2;-2)
Хо = -b/2a = -8/2*2 = -2
Чтобы найти Yо, надо Хо подставить в уравнение:
Yo = 2*(-2)^2 + 8*(-2) + 6
Yo = -2
Таким образом, координаты вершины:
(-2;-2)
Автор ответа:
0
спасибо)))
Похожие вопросы
Предмет: Математика,
автор: akkerman082
Предмет: География,
автор: nverevkin588
Предмет: Биология,
автор: aidanabolatkyzy
Предмет: География,
автор: AlinchikNikitina
Предмет: Физика,
автор: Anzhela48