Предмет: Алгебра,
автор: Prynikova
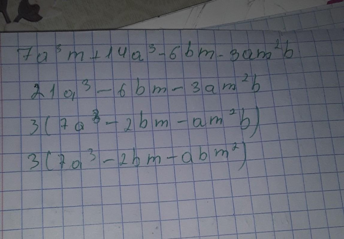
Розкладіть многочлен 7а³m+14a³-6bm-3am²b на множники
Ответы
Автор ответа:
1
короче вот решила удачи
Приложения:
Похожие вопросы
Предмет: Окружающий мир,
автор: малютка122
Предмет: Английский язык,
автор: danil24rus2000
Предмет: Другие предметы,
автор: вичка18
Предмет: Окружающий мир,
автор: Dashatiannian2008
Предмет: Химия,
автор: meowken1