Предмет: Алгебра,
автор: gffdddccccvvvvvgijb
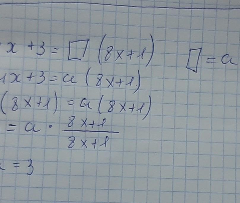
ПОЖАЛУЙСТА ПРОШУ УМОЛЯЮ ПОМОГТЕ РЕШИТЬ
Приложения:
Ответы
Автор ответа:
0
Объяснение:
.........................
Приложения:
Похожие вопросы
Предмет: Русский язык,
автор: mura7
Предмет: Окружающий мир,
автор: Аноним
Предмет: Русский язык,
автор: про348
Предмет: История,
автор: evakharchenko