Предмет: Алгебра,
автор: xxmortalxx233
ДАЮ 70 БАЛЛОВ!!!
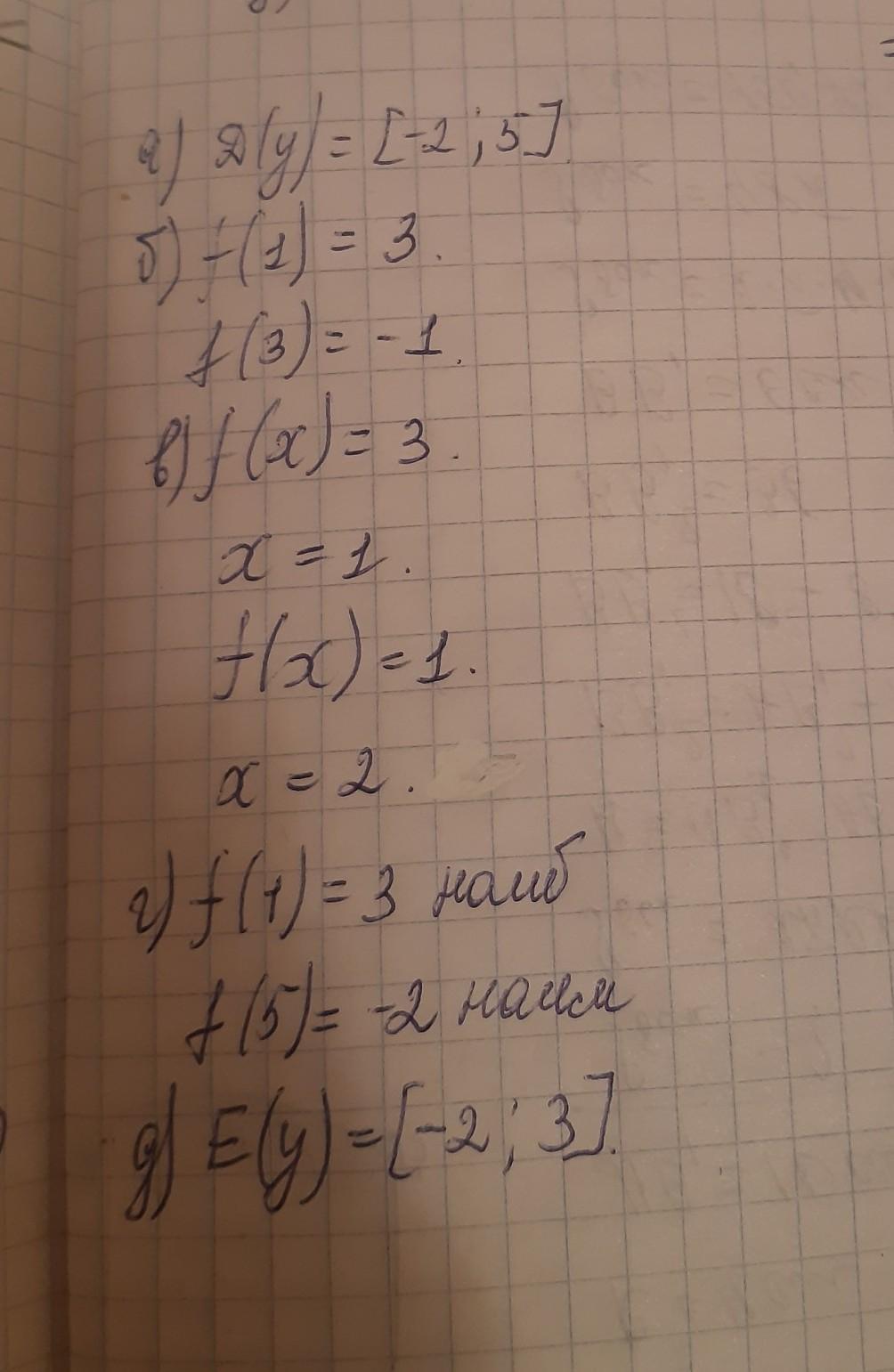
На рисунке изображен график функции у = f (х).
Н а й д и т е:
а) область определения функции;
б) f (1), f (3);
в) значения аргумента х, при которых f (х) = 3, f (х) = 1;
г) наибольшее и наименьшее значения функции;
д) область значений функции.
Приложения:
Ответы
Автор ответа:
2
Объяснение:
см фото,,,,,,,,,,,,,,,,,,,,
Приложения:
xxmortalxx233:
А вот где f(x)=1 x=2 можно написать что x=2,-1 ?
посмотри внимательно кривая идет чуть ниже точки
Всё увидел
Спасибо
Спасибо
https://znanija.com/task/45263956
Можете ещё пожалуйста это решить тоже 70 баллов
Можете ещё пожалуйста это решить тоже 70 баллов
Похожие вопросы
Предмет: Окружающий мир,
автор: Иля11111
Предмет: Русский язык,
автор: Миминора
Предмет: Русский язык,
автор: дрб1
Предмет: Математика,
автор: pak2001