Предмет: Математика,
автор: alexrokotian
Решите пожалуйста очень надо даю 13 баллов
Приложения:
Ответы
Автор ответа:
1
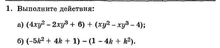
а)=5xy²-3xy³+2
б)-6k²+8k
Похожие вопросы
Предмет: Русский язык,
автор: sitliuov2016
Предмет: Русский язык,
автор: толик17
Предмет: Другие предметы,
автор: Ann553
Предмет: Математика,
автор: igoripalamari
Предмет: Физика,
автор: кошечка177