Предмет: Алгебра,
автор: Novaya22
100 баллов! Срочно! С подробным пошаговым решением. Решить систему уравнений

settom:
5√2-7 - уж больно неудобная константа
задание со *, у самой кипит голова от неё
Тут можно использовать другой подход. Если условие без ошибок, то получается, что действительных корней нет.
а может и наоборот, тут бесконечно много решений
конечно 5√2 убивает вообще всё
А с чего Вы взяли, что тут бесконечно много решений??? 5√2 нам абсолютно не мешает при доказательстве того факта, что действительных корней нет.
Нет таких значений x и y
Правильно, нет.
есть и даже два, попробуйте решить графически
Корни примерно такие (2,5775; 2,1633) и (-2,1633; -2,5775, )
Ответы
Автор ответа:
0
Ответ:
Объяснение:
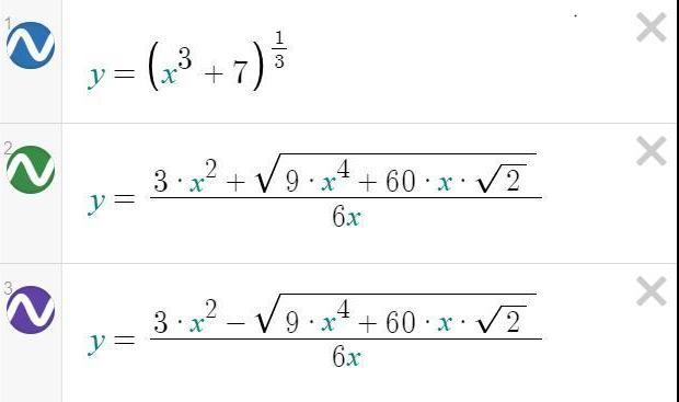
сложим эти два уравнения и преобразуем по формуле куба разности:
Для простоты вычислений введём константу С
C≈0,4142
Из последнего выражения имеем следующие тождества
Подставляем x в первое уравнение
В последнее С³ подставим его значение, чтобы сократить семёрку.
Теперь решаем обычное квадратное уравнение
Тут получается что дискриминант отрицательный и корней нет.
Вариант второй, графический
из первого уравнения получаем график функции
А из второго
Строим графики.
Видим, что точек пересечения нет.
Графики стремятся приблизится друг к другу, но не пересекаются
Приложения:
Да. Если решение mmb1 удалят, прикреплю своё доказательство отсутствия корней. В Вашем я ошибки не нашёл, но можно чуть меньше возиться с неудобными вычислениями...
кстати, если перестроить график, получается интересная картина
Тыкните пожалуйста на мой ответ тоже, что в нём ошибка, я тогда смогу подправить графическую интерпретацию
а то редактирование уже давно закрылось, а открыть может только модератор
Хорошо
Предполагаю, что графики будут приближаться друг к другу на некотором интервале, но не пересекутся. Строить их совсем не хочется) С удовольствием гляну на Ваше построение)
Так и есть, они будут сходится, но не пересекутся. Правильный синий график выглядит аналогично, только выгнут в другую сторону
Видимо, разность этих графиков будет стремиться к нулю
Обновил
Да, примерно так я и представлял взаимное расположение графиков. Красиво! Спасибо за чертеж)
Похожие вопросы
Предмет: Окружающий мир,
автор: настя2394
Предмет: Черчение,
автор: ghfdf69
Предмет: Английский язык,
автор: Супер3000
Предмет: Математика,
автор: Трооа