Предмет: Математика,
автор: 13kitenochek13
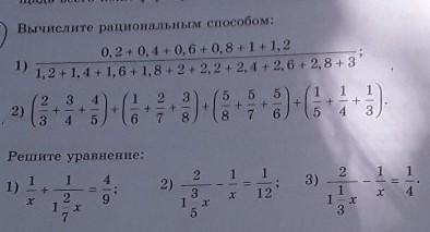
Пожалуйста помогите сделать эти два задания
_ _
| |
/\
Приложения:
Ответы
Автор ответа:
1
Ответ:
Один из удобных способов - сгруппировать числа при сложении. Тогда в числителе получится
0,2 + 0,4 + 0,6 + 0,8 + 1 + 1,2 =(0,2+0,8) + (0,4+0,6) + 1 + 1,2 = 1+ 1 + 1 + 1,2 = 4,2
В знаменателе
1,2 + 1,4 + 1,6 + 1,8 + 2 + 2,2 + 2,4 + 2,6 + 2,8 + 3 =
(1,2+1,8) + (1,4+1,6) + 2 + (2,2+2,8) + (2,4+2,6) + 3 =
3 + 3 + 2 + 5 + 5 + 3 = 21
Осталось подставить в исходную дробь
4,2/21 = 0,2
Похожие вопросы
Предмет: Русский язык,
автор: саша200514
Предмет: Английский язык,
автор: Аноним
Предмет: Английский язык,
автор: 1Nahal
Предмет: Қазақ тiлi,
автор: Foh12345
Предмет: Русский язык,
автор: хорошистка22102005