Предмет: Алгебра,
автор: alexrokotian
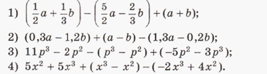
Решите пожалуйста очень надо
Даю 20 баллов
Приложения:
Ответы
Автор ответа:
0
Объяснение:
в таких заданиях главное правильно раскрыть скобки. если перед скобкой стоит минус, то в самой скобке знаки меняются на противоположные. плюс не меняет ничего
действие выполняем с числами, у которых одни буквенные значения. для удобства можно их подчёркивать
Приложения:
Похожие вопросы
Предмет: Українська мова,
автор: splintersel01
Предмет: Русский язык,
автор: Аноним
Предмет: Русский язык,
автор: milayay
Предмет: Алгебра,
автор: lenakarrilio